bitterharvest’s diary

A Bitter Harvestは小説の題名。作者は豪州のPeter Yeldham。苦闘の末に勝ちえた偏見からの解放は命との引換になったという悲しい物語

2014-10-05から1日間の記事一覧

小学生に戻って旅人算(内包表記、遅延評価)

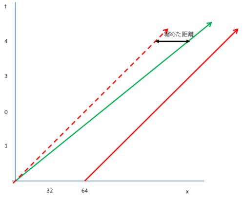
1.旅人算 流水算と似た問題に旅人算がある。旅人算には、①出会うときを求める問題と②追いつくときを求める問題の二種類がある。前者は、離れたところから二人の旅人が相手の方向に歩く場合である。後者は、一人の旅人が先に出発し、別の旅人が先の旅人を追…